PolskiAngielski
Schowek0
Twój schowek jest pusty
Koszyk0
Twój koszyk jest pusty ...
Strona główna » Układ napędowy i zawieszenie » Mechanizmy różnicowe » Szpera Regulowany Mechanizm różnicowy dyferencjału do BMW 168mm Mała głowa
Szpera Regulowany Mechanizm różnicowy dyferencjału do BMW 168mm Mała głowaSzpera Regulowany Mechanizm różnicowy dyferencjału do BMW 168mm Mała głowaSzpera Regulowany Mechanizm różnicowy dyferencjału do BMW 168mm Mała głowaSzpera Regulowany Mechanizm różnicowy dyferencjału do BMW 168mm Mała głowa
Szpera Regulowany Mechanizm różnicowy dyferencjału do BMW 168mm Mała głowa
Szpera Regulowany Mechanizm różnicowy dyferencjału do BMW 168mm Mała głowa
Szpera Regulowany Mechanizm różnicowy dyferencjału do BMW 168mm Mała głowa
Szpera Regulowany Mechanizm różnicowy dyferencjału do BMW 168mm Mała głowa
Nowość

Szpera Regulowany Mechanizm różnicowy dyferencjału do BMW 168mm Mała głowa

Koszt wysyłki:od 20,00 zł

Numer katalogowy:RD1001

Stan magazynowy:

Cena brutto: 8 878,12 zł

Cena netto: 7 217,98 zł

PayPo

Chwilowo niedostępny
Powiadom mnie o dostępności

dodaj do schowka

Kupując ten produkt otrzymasz od nas 8879 punktów które będziesz mógł wykorzystać na zakupy w naszym sklepie. Dotyczy to tylko Klientów zarejestrowanych w naszym sklepie.

  • Opis produktu
  • Recenzje produktu (0)
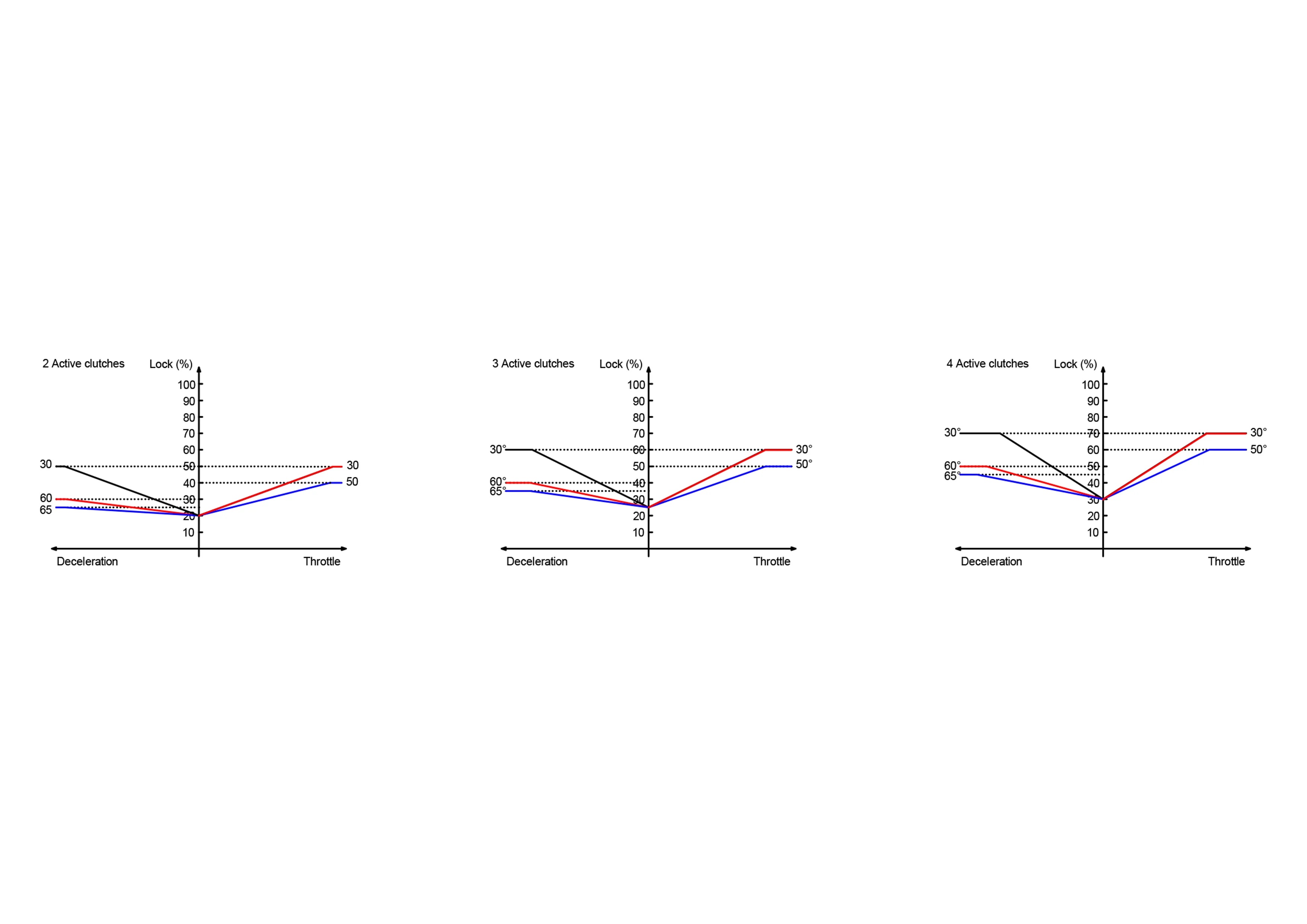
Elevate Your Performance with the BMW 168mm Limited Slip Differential Unit Unlock the full potential of your BMW with the advanced BMW 168mm Limited Slip Differential (LSD) Unit from RacingDiffs. Designed for drivers who demand the best in performance, durability, and adaptability, this LSD unit is a game-changer for your vehicle. Crafted with precision and engineered to exceed expectations, our LSD unit transforms your driving experience, offering unparalleled control and efficiency. Unmatched Durability with Fully Forged Construction The BMW 168mm LSD Unit stands apart with its fully forged internals and housing. Made from the highest quality forged materials, it offers exceptional strength and longevity, ensuring that your BMW is equipped to handle the demands of any driving condition. Customizable Performance for Every Driver With its fully adjustable design, the BMW 168mm LSD Unit caters to a wide range of driving preferences and conditions. Whether you're carving corners on the track, powering through a hill climb, or enjoying a spirited drive on the open road, our LSD unit offers three distinct ramp angle positions for tailored performance: 30/30 Setting: Ideal for aggressive 2-way setup, perfect for professional drifting. 30/60 Setting: A versatile 1.5-way setup, optimal for a variety of motorsports including hill climbing, rally, circuit racing, and time attacks. 50/65 Setting: Designed for drivers seeking a smoother locking experience for everyday street use and occasional track days. State-of-the-Art Clutch Plates with Lifetime Warranty Equipped with four Molybdenum-ceramics clutch plates, the BMW 168mm LSD Unit delivers reliable performance under the most strenuous conditions. We back these high-quality clutch plates with a Lifetime Warranty, ensuring your peace of mind and confidence in your investment. Noise-Free Operation with Optimal Preload Thanks to its optimal preload level and compatibility with high-quality LSD oil, such as Motul Gear Competition 75w140, the BMW 168mm LSD Unit operates seamlessly, without any unwanted noise or vibrations. This ensures a comfortable and enjoyable driving experience, regardless of where your adventures take you. Seamless Integration for BMW Models Engineered specifically for BMW vehicles with a 168mm differential, this LSD unit offers a perfect fit and easy installation, enhancing a wide range of models with improved traction, handling, and performance dynamics. Fitment list: E30: 316i, 318i, 318is E36: 316i, 318i, 318is, 318ti, Z3: 1.8i, 1.9i, E21: 323i Discover the ultimate upgrade for your BMW with the 168mm Limited Slip Differential Unit from RacingDiffs. Experience the difference in performance, reliability, and driving pleasure with an investment that redefines what your vehicle can do.

Nikt jeszcze nie napisał recenzji do tego produktu. Bądź pierwszy i napisz recenzję.

Napisz recenzję do tego produktu, a otrzymasz od nas 50 punktów które będziesz mógł wykorzystać na zakupy w naszym sklepie. Dotyczy to tylko Klientów zalogowanych i zarejestrowanych w naszym sklepie.

Tylko zarejestrowani klienci mogą pisać recenzje do produktów. Jeżeli posiadasz konto w naszym sklepie zaloguj się na nie, jeżeli nie załóż bezpłatne konto i napisz recenzję.